File:PP Shtykovsky 2018 Fig5.png
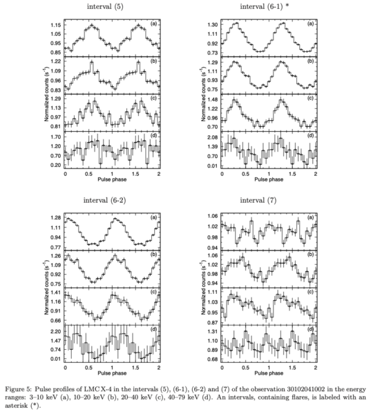
Revision as of 10:32, 7 September 2023 by Kretschmar (talk | contribs) (Further profiles of selected intervals, with times containing flares marked by stars.)
Size of this preview: 537 × 600 pixels. Other resolutions: 215 × 240 pixels | 882 × 985 pixels.
Original file (882 × 985 pixels, file size: 169 KB, MIME type: image/png)
Summary
Further profiles of selected intervals, with times containing flares marked by stars.
File history
Click on a date/time to view the file as it appeared at that time.
| Date/Time | Thumbnail | Dimensions | User | Comment | |
|---|---|---|---|---|---|
| current | 10:32, 7 September 2023 | 882 × 985 (169 KB) | Kretschmar (talk | contribs) | Further profiles of selected intervals, with times containing flares marked by stars. |
You cannot overwrite this file.
File usage
The following page uses this file: